کانون سردفتران و دفتریاران خراسان رضوی - کانون سردفتران و دفتریاران خراسان رضوی
پست قبلی
گزارش دیدار جمعی از همکاران سردفتر و دفتریار مشهد با آقای دکتر رحیمی دبیر محترم کمیسیون قضایی مجلس
پست بعدی
واکنش رئیس کل دادگستری تهران در رابطه با وقوع طلاق 15 دقیقهای در دادگاهها/ آخرین وضعیت دستورالعمل اجرایی تشکیل مراکز مشاوره پیش از طلاق
دیدار هیئت مدیره کانون و بسیج دفاتر اسناد رسمی استان با مادر شهید جمهور رئیسی
ولادت با سعادت حضرت فاطمه زهرا سلام الله علیها و گرامیداشت روز زن و مقام مادر
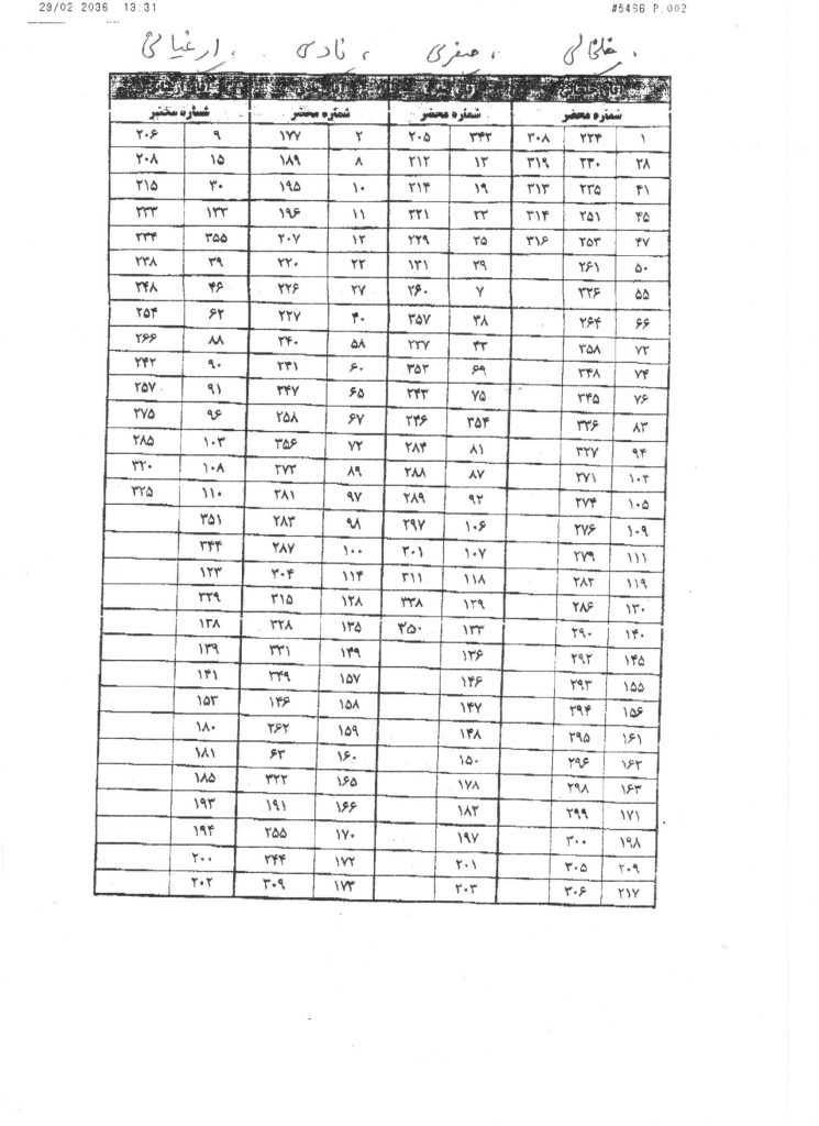
آخرین لیست مراکز درمانی استان در آذرماه سال ۱۴۰۴
عقد قرارداد با کلینیک دندانپزشکی بزرگمهر و نوین مهر مشهد
آدرس ایمیل شما منتشر نخواهد شد.
اطلاعات من را ذخیره کن تا در آینده نیازی به ورود اطلاعات نداشته باشم
Δ
سلام! به اکانت کاربری خود وارد شوید
بازیابی پسورد
پسورد شما به ایمیل شما ارسال خواهد شد